Notes for ML
Ref:
Machine Learning Interview Questions
Bias and Variance for ML models
ref: 机器学习中的Bias和Variance
Bias 是模型预测值和真实值之间差距的期望,代表模型的拟合能力。通过在不同数据子集上评测此误差值可以近似期望。
Variance 是用不同数据子集训练同一个模型,这些参数各异的模型在某一点上预测值的方差,代表算法的鲁棒性。

Bias Variance Decomposition (Ref): $$ \begin{aligned} & \mathbb{E}{D, y}[ (y - \hat{f}_D(x) )^2 ] \ =~ & ( f(x) - \overline{f}(x) )^2 + \mathbb{E}_D [ (\overline{f}(x) - \hat{f}_D(x) )^2 ] + \mathbb{E}\epsilon[\epsilon^2(x)] \ =~ & \text{Bias}^2 + \text{Variance} + \text{Error} \ \text{where} ~ & \overline{f}(x) = \mathbb{E}_{D}[ \hat{f}_D(x) ] \end{aligned} $$ Bagging 算法:从训练集 D 中抽取子集进行训练,共进行 n 轮,训出 n 个预测模型。最终结果是 n 个预测模型给出结果的均值。该方法降低了 Variance 。每个模型是强模型( Bias 低, Variance 高)。
Boosting 算法:针对弱模型( Bias 高, Variance 低),减小 Bias 。从弱学习算法出发,反复学习,得到一系列弱分类器,然后加权组合弱分类器,得到一个强分类器。在学习过程中要改变训练数据的权值分布,提高分错的样本的权值。
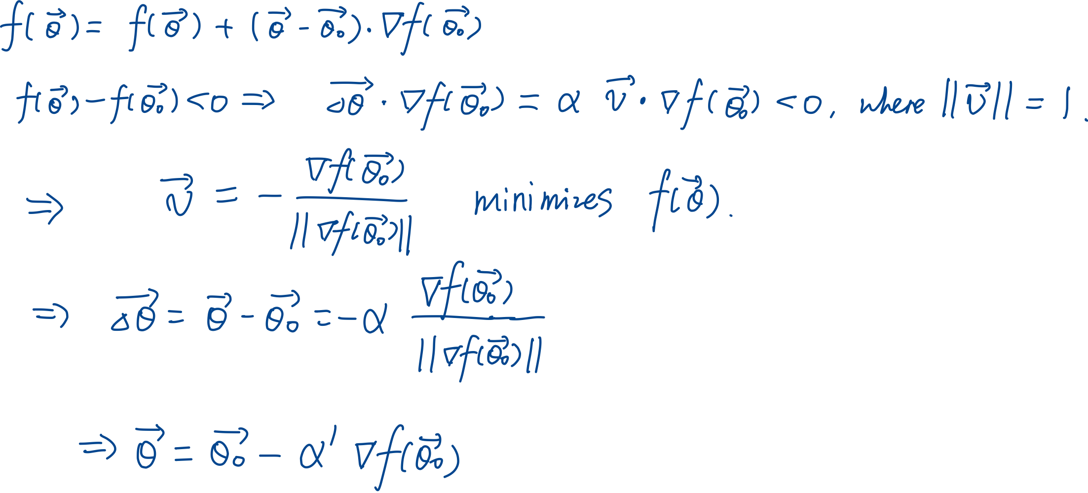
Gradient Descent
大致原理用一阶 Taylor Series 推导即可:

Over- and under- fitting
根据 training set 和 testing set 上的表现走决策树(By Hongyi Li)

Regularization
A technique that discourages learning a more complex or flexible model, so as to avoid the risk of overfitting. (控制模型复杂度;e.g. 所有参数的权重做 L2-norm)
Why is ReLU better and more often used than Sigmoid in Neural Networks?
- 运算速度高
- sigmoid (和 tanh) 饱和区非常平缓,梯度接近 0 ,收敛变慢。
- ReLU 会使一部分神经元输出为 0 (随机初始化,一半都是 0),使网络变得稀疏,缓解 overfitting
非线性层(activation layer)的本质( from Vector Neurons: A General Framework for SO(3)-Equivariant Networks ): As evident from recent literature, especially useful are functions that split the input domain into two half spaces and map them differently.
Given stride S and kernel sizes for each layer of a CNN, create a function to compute the receptive field of a particular node in the network.


Why conv. rather than just FC?
- conv 利用图像的空间信息
- translation in-variance 平移不变性:卷积+池化;这对于图像有利
- 参数共享,稀疏连接:防止过拟合
Why Pooling?
- feature invariant: 是否存在某些特征,而不关心特征的位置
- 降维
- 防止过拟合
ResNet
---> BN -> Actv -> Linear -> BN -> Actv -> Linear --->
\_________________________________________________/
可能的原理:
- 并非梯度消失/爆炸:二者已被 normalized initialization and intermediate normalization layers 解决
- Motivation: 深层网络的表现不如浅层网络(training set 和 test set 上 error 都更大)
- 加上 Identity Mapping 后, \(Out(x) = F(x) + x \Rightarrow F(x) = Out(x) - x\) ,学习的是残差值。深层网络只需学到 \(F(x) = 0\) 就不致使网络退化。与之相比,直接学习恒等映射比较难。
BatchNorm 与 LayerNorm
-
BN 是对 feature 的某一维度,用 batch 中的各个样本计算这一维度的均值和方差,然后 norm batch 中这一维度的所有数值。
-
LN 用于 NLP ,是对 seq 中 token 的 feature 做 norm ,根据此 feature 各个维度的值算出均值和方差,然后 norm 这个 feature 。体现在代码中,
mean和std都是沿着input_tensor的最后一个 dim 做的。 -
为什么 Transformer 用 LayerNorm ?
How to deal with unbalanced dataset?
- Oversampling or undersampling. Use a non-uniform distribution to sample from the dataset, so the model sees a more balanced dataset.
- Data augmentation. 给少的类别做数据增强。(e.g. 图像翻转,旋转,裁剪,添加噪声)
- Using appropriate metrics. precision, recall, F-score, ...
Precision, Recall, F-score, etc.

-
Precision (精确率,查准率): 预测为正的样本中,有多少实际为正 \({TP} \over TP + FP\)
与 Accuracy 不同, Precision 反映预测为正的样本中的预测准确程度。
-
Recall (召回率,查全率): 实际为正的样本中,有多少被预测为正 \({TP} \over TP + FN\)
「宁可都为正,也不预测为负」,这会使 Recall 变高。
-
Accuracy (准确率): \({TP + TN} \over {TP + TN + FN + FP}\)
-
F-score: 调和平均的结构下, \(\beta\) 作用在 \(R\) 上。
\[ (1 + \beta^2) {1 \over { {1 \over {R / \beta^2}} + {1 \over P} } } = {(1 + \beta^2) PR \over \beta^2 P + R} \]\(\beta = 1\) 时, P 、 R 权重相同,为 F1-score 。
\(\beta < 1\) 时, P 更重要; \(\beta > 1\) 时, R 更重要。
-
对于二分类器,设定一个阈值以进行分类。遍历所有阈值,得到的 P R 对绘制为曲线,为 PR 曲线。

-
解决 unbalanced dataset :在实际为正和实际为负的两个子集上分别评价:
\({TPR} = {TP \over TP + FN}\)
\({FPR} = {FP \over FP + TN}\)
ROC (Receiver Operating Characteristic) 曲线越陡,模型性能越好。

-
Average Precision: ref
(按得分排序。)把阈值设在每个实际为正的样本的得分之下,每次计算一个 Precision ,最后取平均。

阈值减小, P 减小。 AP 是这个变化过程中的 P 求和,最后除以总数得到的。如果有无限多个阈值, AP 就是 PR 曲线与坐标轴围城的面积。
Why stochastic gradient descent?
- Full batch learning: 每次用所有样本更新参数。幅度大。对于凸优化问题肯定能达到全局最优。但速度慢。
- Stochastic gradient descent: 每次只用一个样本来更新参数。相当于用一个样本估计总体的梯度。
- mini-batch learning: 每次用 b 个样本更新。
Why dropout?
随机让一部分神经元失活,减缓 overfitting 。
RNN and LSTM
RNN: \(s_i = \sigma (U x_i + W s_{i-1} + b)\)
Long Short Term Memory: cell state (highway) + hidden state
Why Cross-Entropy?
Entropy: $$ H(X) = - \sum_{i=1}^n p_i \log p_i $$ X 的取值分布越分散,熵越大
Cross-entropy: $$ C(y, \hat{y}) = - (y \log \hat{y} + (1-y) \log (1- \hat{y})) $$ 相比于 MSE 的好处:不会因为 sigmoid 在梯度平缓区而更新太慢 $$ {\partial C \over \partial w_j} = {1 \over n} \sum_x x_j (\sigma(z) - y) $$ MSE: $$ {\partial C \over \partial w} = (\hat{y} - y) \sigma'(z)x $$
Transformer